Farm Transparency Project
Farm Transparency Project
Search
  • Gallery & Database
    • Photos 30433
      • Upload new
      • All photos
      • By category
        • Farm (meat)
        • Farm (dairy)
        • Farm (eggs)
        • Farm (wool)
        • Farm (skins/fur)
        • Hatchery
        • Saleyard
        • Slaughterhouse
        • Knackery
        • Other
          • Activism
          • Agricultural show
          • Circus
          • Dairy processing
          • Depot / holding yard
          • Experimentation
          • Farm (honey)
          • Live export
          • Live market
          • Meat processing (non-slaughter)
          • Other entertainment
          • Pet breeder
          • Pet shop
          • Race training/breeding
          • Racecourse
          • Rendering plant
          • Rodeo
          • Wildlife
          • Zoo
        • Unknown
      • By species
        • Chickens
        • Cows/cattle
        • Ducks
        • Goats
        • Pigs
        • Sheep
        • Turkeys
        • Other
          • Alligators
          • Alpacas
          • Bees
          • Buffalo
          • Calves
          • Camels
          • Cats
          • Chinchillas
          • Crocodiles
          • Deer
          • Dingoes
          • Dogs
          • Donkeys
          • Emus
          • Fish/sealife
          • Foxes
          • Geese
          • Greyhounds
          • Guinea hens
          • Guinea pigs
          • Horses
          • Kangaroos
          • Koalas
          • Lions
          • Llamas
          • Mice
          • Minks
          • Misc Birds
          • Misc Reptiles
          • Monkeys
          • Ostriches
          • Pigeons
          • Quail
          • Rabbits
          • Rats
    • Videos 1425
      • Upload new
      • All videos
      • By category
        • Farm (meat)
        • Farm (dairy)
        • Farm (eggs)
        • Farm (wool)
        • Farm (skins/fur)
        • Hatchery
        • Saleyard
        • Slaughterhouse
        • Knackery
        • Other
          • Activism
          • Agricultural show
          • Circus
          • Dairy processing
          • Depot / holding yard
          • Experimentation
          • Farm (honey)
          • Live export
          • Live market
          • Meat processing (non-slaughter)
          • Other entertainment
          • Pet breeder
          • Pet shop
          • Race training/breeding
          • Racecourse
          • Rendering plant
          • Rodeo
          • Wildlife
          • Zoo
        • Unknown
      • By species
        • Chickens
        • Cows/cattle
        • Ducks
        • Goats
        • Pigs
        • Sheep
        • Turkeys
        • Other
          • Alligators
          • Alpacas
          • Bees
          • Buffalo
          • Calves
          • Camels
          • Cats
          • Chinchillas
          • Crocodiles
          • Deer
          • Dingoes
          • Dogs
          • Donkeys
          • Emus
          • Fish/sealife
          • Foxes
          • Geese
          • Greyhounds
          • Guinea hens
          • Guinea pigs
          • Horses
          • Kangaroos
          • Koalas
          • Lions
          • Llamas
          • Mice
          • Minks
          • Misc Birds
          • Misc Reptiles
          • Monkeys
          • Ostriches
          • Pigeons
          • Quail
          • Rabbits
          • Rats
    • Documents 479
      • Upload new
      • All documents
      • By category
        • Farm (meat)
        • Farm (dairy)
        • Farm (eggs)
        • Farm (wool)
        • Farm (skins/fur)
        • Hatchery
        • Saleyard
        • Slaughterhouse
        • Knackery
        • Other
          • Activism
          • Agricultural show
          • Circus
          • Dairy processing
          • Depot / holding yard
          • Experimentation
          • Farm (honey)
          • Live export
          • Live market
          • Meat processing (non-slaughter)
          • Other entertainment
          • Pet breeder
          • Pet shop
          • Race training/breeding
          • Racecourse
          • Rendering plant
          • Rodeo
          • Wildlife
          • Zoo
        • Unknown
      • By species
        • Chickens
        • Cows/cattle
        • Ducks
        • Goats
        • Pigs
        • Sheep
        • Turkeys
        • Other
          • Alligators
          • Alpacas
          • Bees
          • Buffalo
          • Calves
          • Camels
          • Cats
          • Chinchillas
          • Crocodiles
          • Deer
          • Dingoes
          • Dogs
          • Donkeys
          • Emus
          • Fish/sealife
          • Foxes
          • Geese
          • Greyhounds
          • Guinea hens
          • Guinea pigs
          • Horses
          • Kangaroos
          • Koalas
          • Lions
          • Llamas
          • Mice
          • Minks
          • Misc Birds
          • Misc Reptiles
          • Monkeys
          • Ostriches
          • Pigeons
          • Quail
          • Rabbits
          • Rats
    • Advocacy Materials 129
      • Upload new
      • All materials
      • By category
        • Farm (meat)
        • Farm (dairy)
        • Farm (eggs)
        • Farm (wool)
        • Farm (skins/fur)
        • Hatchery
        • Saleyard
        • Slaughterhouse
        • Knackery
        • Other
          • Activism
          • Agricultural show
          • Circus
          • Dairy processing
          • Depot / holding yard
          • Experimentation
          • Farm (honey)
          • Live export
          • Live market
          • Meat processing (non-slaughter)
          • Other entertainment
          • Pet breeder
          • Pet shop
          • Race training/breeding
          • Racecourse
          • Rendering plant
          • Rodeo
          • Wildlife
          • Zoo
        • Unknown
      • By species
        • Chickens
        • Cows/cattle
        • Ducks
        • Goats
        • Pigs
        • Sheep
        • Turkeys
        • Other
          • Alligators
          • Alpacas
          • Bees
          • Buffalo
          • Calves
          • Camels
          • Cats
          • Chinchillas
          • Crocodiles
          • Deer
          • Dingoes
          • Dogs
          • Donkeys
          • Emus
          • Fish/sealife
          • Foxes
          • Geese
          • Greyhounds
          • Guinea hens
          • Guinea pigs
          • Horses
          • Kangaroos
          • Koalas
          • Lions
          • Llamas
          • Mice
          • Minks
          • Misc Birds
          • Misc Reptiles
          • Monkeys
          • Ostriches
          • Pigeons
          • Quail
          • Rabbits
          • Rats
    • Facilities 74929
      • All facilities
      • By category
        • Farm (meat)
        • Farm (dairy)
        • Farm (eggs)
        • Farm (wool)
        • Farm (skins/fur)
        • Hatchery
        • Saleyard
        • Slaughterhouse
        • Knackery
        • Other
          • Agricultural show
          • Circus
          • Dairy processing
          • Depot / holding yard
          • Experimentation
          • Farm (honey)
          • Live market
          • Meat processing (non-slaughter)
          • Other entertainment
          • Pet breeder
          • Pet shop
          • Race training/breeding
          • Racecourse
          • Rendering plant
          • Rodeo
          • Wildlife
          • Zoo
        • Unknown
      • By species
        • Chickens
        • Cows/cattle
        • Ducks
        • Goats
        • Pigs
        • Sheep
        • Turkeys
        • Other
          • Alligators
          • Alpacas
          • Bees
          • Buffalo
          • Calves
          • Camels
          • Cats
          • Chinchillas
          • Crocodiles
          • Deer
          • Dingoes
          • Dogs
          • Donkeys
          • Emus
          • Fish/sealife
          • Foxes
          • Geese
          • Greyhounds
          • Guinea hens
          • Guinea pigs
          • Horses
          • Kangaroos
          • Koalas
          • Lions
          • Llamas
          • Mice
          • Minks
          • Misc Birds
          • Misc Reptiles
          • Monkeys
          • Ostriches
          • Pigeons
          • Quail
          • Rabbits
          • Rats
    • Companies 1196
      • All companies
      • By category
        • Farm (meat)
        • Farm (dairy)
        • Farm (eggs)
        • Farm (wool)
        • Farm (skins/fur)
        • Hatchery
        • Saleyard
        • Slaughterhouse
        • Knackery
        • Other
          • Agricultural show
          • Circus
          • Dairy processing
          • Depot / holding yard
          • Experimentation
          • Farm (honey)
          • Live market
          • Meat processing (non-slaughter)
          • Other entertainment
          • Pet breeder
          • Pet shop
          • Race training/breeding
          • Racecourse
          • Rendering plant
          • Rodeo
          • Wildlife
          • Zoo
        • Unknown
      • By species
        • Chickens
        • Cows/cattle
        • Ducks
        • Goats
        • Pigs
        • Sheep
        • Turkeys
        • Other
          • Alligators
          • Alpacas
          • Bees
          • Buffalo
          • Calves
          • Camels
          • Cats
          • Chinchillas
          • Crocodiles
          • Deer
          • Dingoes
          • Dogs
          • Donkeys
          • Emus
          • Fish/sealife
          • Foxes
          • Geese
          • Greyhounds
          • Guinea hens
          • Guinea pigs
          • Horses
          • Kangaroos
          • Koalas
          • Lions
          • Llamas
          • Mice
          • Minks
          • Misc Birds
          • Misc Reptiles
          • Monkeys
          • Ostriches
          • Pigeons
          • Quail
          • Rabbits
          • Rats
  • Map
  • Virtual Tours
    • Bridgewater Poultry egg farm
    • Gathercole's Wangaratta
    • EcoPiggery
    • Tasmanian Quality Meats
    • Scottsdale Pork
    • Gowanbrae Piggery
    • See all
  • Knowledgebase
    • Animals used for Food
      • Abattoirs / Slaughterhouses
        • Age of animals slaughtered
        • Halal and kosher slaughter
        • Stunning and Killing
        • Transport
        • What's wrong with slaughter?
        • Glossary
      • Broiler (Meat) Chickens
        • Breeding
        • Drug use
        • Health issues
        • Information from Animal Liberation's 2011 Investigation
        • On the farm
        • Rapid Growth
        • Same species feeding
        • Slaughter
        • The hatchery
      • Camels
        • Cattle (Beef)
          • Feedlots
          • Live Export
          • Painful procedures
          • Slaughter
        • Dairy
          • Camel dairy
          • Cow dairy
          • Goat dairy
        • Deer
          • Ducks
            • Bill mutilation
            • Breeding
            • Common health issues
            • Housing
            • Slaughter
            • The Poultry Code
            • Down
          • Eggs
            • Barn laid
            • Breeding
            • Caged Eggs
            • Free-Range
            • Hatchery
            • Health issues
            • Slaughter
          • Emus
            • Fish and marine life
              • By-catch
              • Do fish feel pain?
              • Farmed fish
              • Wild-caught fish
              • Crustaceans
            • Goats
              • Kangaroos
                • Knackeries
                  • Live Export
                    • Pigs
                      • Breeding
                      • Farrowing Crates
                      • Free Range
                      • Slaughter
                      • Sow Stalls
                      • Standard practice (mutilation): piglets
                      • Gas chambers
                    • Rabbits
                      • Rendering
                        • Saleyards
                          • Sheep
                            • Sheep Feedlots
                          • Turkeys
                            • Artificial Insemination
                            • Breeding
                            • Genetic Alterations
                            • Hatchery
                            • Health issues
                            • Health Problems of Breeders
                            • Housing
                            • Lame and Injured Birds
                            • Mortality Rate
                            • Muscle Disorders
                            • Skeletal Disorders
                            • Slaughter
                            • Turkeys: sentient and intelligent
                            • Use of Antibiotics
                        • Animals used for Pets
                          • Birds
                            • Cats
                              • Dogs
                                • Fish
                                  • Rabbits
                                    • Reptiles
                                      • Rodents
                                      • Wildlife
                                        • Dingoes
                                          • Duck Shooting
                                            • Kangaroos
                                              • Koalas
                                                • Rabbits
                                                  • Wild buffalo
                                                    • Wild camels
                                                      • Wild Deer
                                                        • Wild goats
                                                          • Wild horses (brumbies)
                                                            • Wild Pigs
                                                            • Animals used for Entertainment
                                                              • Circuses
                                                                • Greyhound Racing
                                                                  • Behavioural welfare
                                                                  • Doping and Aversive Therapies
                                                                  • How can you help?
                                                                  • International Export
                                                                  • Is greyhound racing banned in Australia?
                                                                  • Live baiting
                                                                  • Medical neglect
                                                                  • Track injuries and death
                                                                  • Wastage
                                                                • Horse Racing
                                                                  • Doping of Horses
                                                                  • Health Complications
                                                                  • Horse Breakers
                                                                  • Human impacts of horse racing
                                                                  • Painful Equipment
                                                                  • Racing
                                                                  • The Sales
                                                                  • The Stud
                                                                  • Training/Housing
                                                                  • Wastage
                                                                • Rodeos
                                                                  • Zoos
                                                                  • Animals used for Clothing
                                                                    • Crocodile & Alligator
                                                                      • Fur
                                                                        • Leather
                                                                          • Wool
                                                                          • Animals used for Science
                                                                            • Cosmetic Testing
                                                                              • Medical
                                                                              • Activism
                                                                                • Dominion Outreach
                                                                                  • Engaging with police at protests (Victoria)
                                                                                    • Equipment for protests and outreach
                                                                                    • Glossary
                                                                                    • Campaigns
                                                                                      • Right to Know: the Game Meats Cruelty Case
                                                                                      • Eggs Exposed
                                                                                      • The Price of Pork
                                                                                      • End Dairy Slaughter
                                                                                      • Eggs Uncaged
                                                                                      • Andgar Piggeries, South Australia
                                                                                      • Dairy Factory Farms
                                                                                      • Shut down slaughterhouses
                                                                                      • Victorian piggeries 2025
                                                                                      • Cows killed in horrific Melbourne truck crash
                                                                                      • See all
                                                                                    • Investigations
                                                                                      • Eggs Uncaged
                                                                                      • Jervois Road SA Dairy Farms
                                                                                      • NSW Dairies 2025
                                                                                      • Maxine Fraser horse property
                                                                                      • Andgar Piggeries SA, Aug 2025
                                                                                      • Andgar Piggery, Dublin SA
                                                                                      • Cowra Meat Processors, Cowra NSW
                                                                                      • Dairy Factory Farms
                                                                                      • DJ & CA Meek Slaughterhouse, Edenhope VIC
                                                                                      • Tinder Creek duck slaughterhouse NSW
                                                                                      • See all
                                                                                    • Take Action
                                                                                      • Petitions & Pledges
                                                                                        • Justice for Olivia - stop Midland Bacon from expanding!
                                                                                        • Tell SA Authorities to Shut Down Dublin Piggery
                                                                                        • Leave animal products off my plate
                                                                                        • Help us shut down slaughterhouses
                                                                                        • End dairy deception in schools
                                                                                        • See all
                                                                                      • Upcoming Events (Facebook)
                                                                                      • Take action for Palestine
                                                                                    • News & Media
                                                                                      • Media Releases
                                                                                      • Editorials
                                                                                      • Investigator Diaries
                                                                                    • Projects
                                                                                      • Farm Transparency Map
                                                                                      • Dominion
                                                                                      • Lucent
                                                                                      • 1000 eyes
                                                                                      • Melbourne Animal Rights Centre (MARC)
                                                                                      • Stop the Cycle
                                                                                      • 'One Bad Day' Slaughterhouse Report
                                                                                    • Support Us
                                                                                      • Donate
                                                                                      • Dominion Movement Action Team
                                                                                      • Fundraise for FTP
                                                                                      • Volunteer
                                                                                      • Shop
                                                                                      • Goodwill Wine
                                                                                    • About Us
                                                                                      • The Team
                                                                                      • Our History
                                                                                      • Core Values
                                                                                      • FAQ
                                                                                      • Job Vacancies
                                                                                      • Get Email Updates
                                                                                      • Contact Us
                                                                                    • About Us
                                                                                    • Contact Us
                                                                                    • Core Values
                                                                                    • Job Vacancies
                                                                                    • Donate
                                                                                    • Shop
                                                                                    • My account
                                                                                      Forgot LoginCreate Account
                                                                                    Search

                                                                                    Farm Transparency Repository

                                                                                    Upload
                                                                                    26 results
                                                                                    Search terms
                                                                                    Searches title, description, tags, location.
                                                                                    Tags
                                                                                    Advanced search
                                                                                    Separate words/phrases to exclude with a comma.
                                                                                    Sort by
                                                                                    Asset type
                                                                                    Clear
                                                                                    Category
                                                                                    Clear
                                                                                    Most common
                                                                                    Other
                                                                                    Species
                                                                                    Clear
                                                                                    Most common
                                                                                    Other
                                                                                    Location
                                                                                    Clear
                                                                                    Credits
                                                                                    Clear
                                                                                    Publisher/creator
                                                                                    Photographer
                                                                                    Videographer
                                                                                    Editor
                                                                                    Director
                                                                                    Apply filters
                                                                                    'Cool Chicks' article in HVAC&R Nation magazine
                                                                                    'Cool Chicks' article in HVAC&R Nation magazine
                                                                                    'Cool Chicks' article in HVAC&R Nation magazine
                                                                                    Other
                                                                                    Created 2018
                                                                                    Australia
                                                                                    One Bad Day: The State of Australia's Animal Slaughter Industry (July 2025)
                                                                                    One Bad Day: The State of Australia's Animal Slaughter Industry (July 2025)
                                                                                    One Bad Day: The State of Australia's Animal Slaughter Industry (July 2025)
                                                                                    Report / Plan
                                                                                    Created 2025
                                                                                    Australia
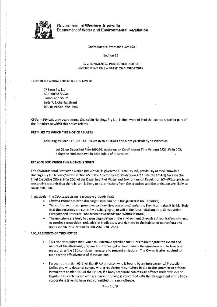
                                                                                    Illegally Buried Chicken Waste
                                                                                    Illegally Buried Chicken Waste
                                                                                    Illegally Buried Chicken Waste
                                                                                    Report / Plan
                                                                                    Created 2018
                                                                                    Australia
                                                                                    Raising Japanese quail
                                                                                    Raising Japanese quail
                                                                                    Raising Japanese quail
                                                                                    Other
                                                                                    Created 2008
                                                                                    Australia
                                                                                    Development and Extension of Industry Best Practice for On Farm Euthanasia of Spent Layer Hens
                                                                                    Development and Extension of Industry Best Practice for On Farm Euthanasia of Spent Layer Hens
                                                                                    Development and Extension of Industry Best Practice for On Farm Euthanasia of Spent Layer Hens
                                                                                    Report / Plan
                                                                                    Created 2015
                                                                                    Australia
                                                                                    Application for Planning Permit
                                                                                    Application for Planning Permit
                                                                                    Application for Planning Permit
                                                                                    Other
                                                                                    Created 2010
                                                                                    Australia
                                                                                    Australian Honey Bee Industry Council Inc. Monthly Newletter - January 2018
                                                                                    Australian Honey Bee Industry Council Inc. Monthly Newletter - January 2018
                                                                                    Australian Honey Bee Industry Council Inc. Monthly Newletter - January 2018
                                                                                    Meeting agenda/minutes/notes
                                                                                    Created 2018
                                                                                    Australia
                                                                                    Review of the Poultry Meat Industry Act 1986
                                                                                    Review of the Poultry Meat Industry Act 1986
                                                                                    Review of the Poultry Meat Industry Act 1986
                                                                                    Report / Plan
                                                                                    Created 2013
                                                                                    Australia
                                                                                    Riverina poultry farm pumps farm layout
                                                                                    Riverina poultry farm pumps farm layout
                                                                                    Riverina poultry farm pumps farm layout
                                                                                    Other
                                                                                    Created 2018
                                                                                    Australia
                                                                                    Tabbita Farm 2 - Environmental Impact Statement report.
                                                                                    Tabbita Farm 2 - Environmental Impact Statement report.
                                                                                    Tabbita Farm 2 - Environmental Impact Statement report.
                                                                                    Report / Plan
                                                                                    Created 2015
                                                                                    Australia
                                                                                    ProTen Shareholder Newsletter May 2016
                                                                                    ProTen Shareholder Newsletter May 2016
                                                                                    ProTen Shareholder Newsletter May 2016
                                                                                    Other
                                                                                    Created 2016
                                                                                    Australia
                                                                                    Red Lea - Farm Fresh Chicken
                                                                                    Red Lea - Farm Fresh Chicken
                                                                                    Red Lea - Farm Fresh Chicken
                                                                                    Other
                                                                                    Australia
                                                                                    AUS-MEAT Accreditation Listing
                                                                                    AUS-MEAT Accreditation Listing
                                                                                    AUS-MEAT Accreditation Listing
                                                                                    List or spreadsheet
                                                                                    Created 2017
                                                                                    Australia
                                                                                    Talloman Rendering Facility Licence
                                                                                    Talloman Rendering Facility Licence
                                                                                    Talloman Rendering Facility Licence
                                                                                    Licence/certificate
                                                                                    Created 2015
                                                                                    Australia
                                                                                    Mt Barker Chicken Abattoir Licence
                                                                                    Mt Barker Chicken Abattoir Licence
                                                                                    Mt Barker Chicken Abattoir Licence
                                                                                    Licence/certificate
                                                                                    Created 2014
                                                                                    Australia
                                                                                    Mt Barker Chicken Abattoir Licence Annual Audit Compliance Report
                                                                                    Mt Barker Chicken Abattoir Licence Annual Audit Compliance Report
                                                                                    Mt Barker Chicken Abattoir Licence Annual Audit Compliance Report
                                                                                    Report / Plan
                                                                                    Created 2017
                                                                                    Australia
                                                                                    Inghams Abattoir Licence
                                                                                    Inghams Abattoir Licence
                                                                                    Inghams Abattoir Licence
                                                                                    Licence/certificate
                                                                                    Created 2016
                                                                                    Australia
                                                                                    Inghams Prospectus - Initial Public Offering of Ordinary Shares
                                                                                    Inghams Prospectus - Initial Public Offering of Ordinary Shares
                                                                                    Inghams Prospectus - Initial Public Offering of Ordinary Shares
                                                                                    Created 2017
                                                                                    Australia
                                                                                    Is the Use of Fishmeal and Fishoil in Aquaculture Diets Sustainable - Technote
                                                                                    Is the Use of Fishmeal and Fishoil in Aquaculture Diets Sustainable - Technote
                                                                                    Is the Use of Fishmeal and Fishoil in Aquaculture Diets Sustainable - Technote
                                                                                    Created 2008
                                                                                    Australia
                                                                                    RAB004 ground baiting of rabbits with Pindone
                                                                                    RAB004 ground baiting of rabbits with Pindone
                                                                                    RAB004 ground baiting of rabbits with Pindone
                                                                                    Report / Plan
                                                                                    Created 2017
                                                                                    Australia
                                                                                    Evolution of FRDC until 2015
                                                                                    Evolution of FRDC until 2015
                                                                                    Evolution of FRDC until 2015
                                                                                    Created 2015
                                                                                    Australia
                                                                                    Fish & Crustaceans Fact Sheet - Animals Australia
                                                                                    Fish & Crustaceans Fact Sheet - Animals Australia
                                                                                    Fish & Crustaceans Fact Sheet - Animals Australia
                                                                                    Australia
                                                                                    Notice of Amendment of Licence Expiry Dates
                                                                                    Notice of Amendment of Licence Expiry Dates
                                                                                    Notice of Amendment of Licence Expiry Dates
                                                                                    List or spreadsheet
                                                                                    Created 2016
                                                                                    Australia
                                                                                    Poultry Meat Industry Act 1986, review 1999
                                                                                    Poultry Meat Industry Act 1986, review 1999
                                                                                    Poultry Meat Industry Act 1986, review 1999
                                                                                    Report / Plan
                                                                                    Created 1999
                                                                                    Australia
                                                                                    Poultry Code of Practice
                                                                                    Poultry Code of Practice
                                                                                    Poultry Code of Practice
                                                                                    Report / Plan
                                                                                    Created 2002
                                                                                    Australia
                                                                                    QLD Egg Farms (SFPQ Egg Register 2013)
                                                                                    QLD Egg Farms (SFPQ Egg Register 2013)
                                                                                    QLD Egg Farms (SFPQ Egg Register 2013)
                                                                                    List or spreadsheet
                                                                                    Created 2013
                                                                                    Australia

                                                                                    Farm Transparency Project

                                                                                    Upload Map About Donate
                                                                                    Farm Transparency Project (FTP) logo

                                                                                    This website serves as a free public repository, information centre and toolkit for consumers and animal advocates in Australia, intended to force transparency on animal-exploitative industries.

                                                                                    Farm Transparency Project (FTP) does not condone or encourage the use of this resource for illegal purposes including trespass, or for any use contrary to our core values.

                                                                                    View our latest campaigns and investigations, and take action.

                                                                                    Privacy Policy Terms of Use

                                                                                    Take action for Palestine

                                                                                    About

                                                                                    Farm Transparency Project (FTP) is an animal protection charity and independent media outlet, dedicated to ending the abuse and exploitation of animals in farms, slaughterhouses and other commercial settings.

                                                                                    About us The team Our history Core values Frequently Asked Questions (FAQ) Job vacancies Contact us

                                                                                    Based in Melbourne/Naarm, Australia.
                                                                                    PO Box 9, South Melbourne VIC 3205 Australia

                                                                                    Farm Transparency International Ltd
                                                                                    ABN 46 641 242 579

                                                                                    Farm Transparency Project (FTP) operates on the country of the Kulin Nation, the longstanding sovereigns of this land. Always was, always will be Aboriginal land.

                                                                                    Support

                                                                                    Donate Volunteer Shop

                                                                                    Projects

                                                                                    Dominion (documentary) Repository (gallery) Farm & slaughterhouse map Virtual tours

                                                                                    Site tools

                                                                                    Upload Login Create account Quick links

                                                                                    Connect

                                                                                    Get email updates

                                                                                    Sign up to campaign updates

                                                                                    Media

                                                                                    Latest media releases & statements Sign up to media releases

                                                                                    Live Vegan

                                                                                    Pledge Free Veg Starter Kit VeganEasy

                                                                                    Your session has expired!

                                                                                    Your session will expire in seconds! Click 'Continue' to stay logged in.